Skip to main content
e-learning PRz
You are currently using guest access (
Log in
)
English (en)
English (en)
Polski (pl)
Slovenčina (sk)
Українська (uk)
Technologia montażu MM/K ZU (sem. 2025/2026 zimowy)
Page path
Home
/
►
Courses
/
►
Wydział Budowy Maszyn i Lotnictwa
/
►
Mechanika i Budowa Maszyn
/
►
Studia drugiego stopnia
/
►
TM 2025/2026
/
►
Wykład 2
/
►
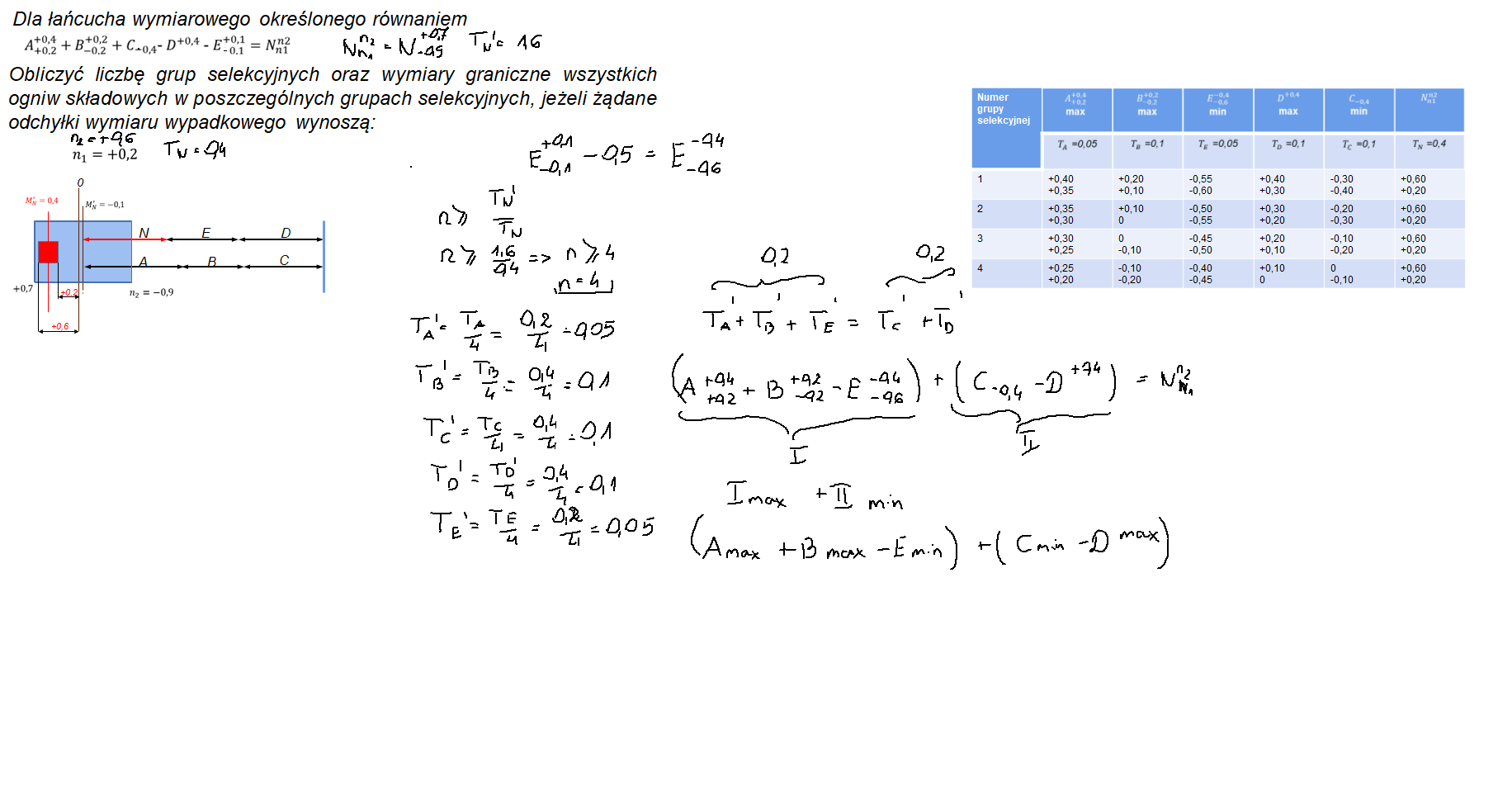
Przykład 2
Przykład 2
◄ Przykład 1
Jump to...
Jump to...
Ogłoszenia
Kod do zespołu MS Teams
Materiały do wykładu 1
Materiały do wykładu 2
Przykład 1
Przykład 3
Materiały z wykładu
Zamienność technologiczna 1
Zamienność technologiczna 2
Zamienność konstrukcyjna
Materiały do wykładu
Instrukcja nr 1
Instrukcja nr 2
Przykład 3 ►